
Alınacak personel 657’e tabi memur statüsünde olacaktır.
Adalet Bakanlığından:
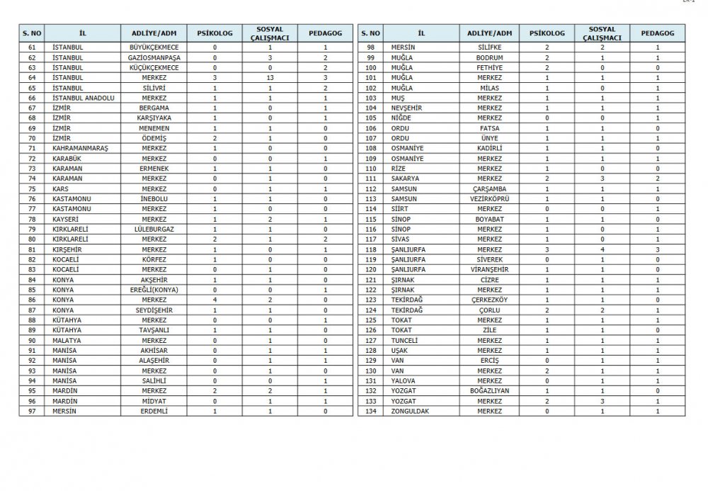
Bakanlığımız merkez teşkilatında bulunan 12 istatistikçi, 3 mimar, 2 diyetisyen, 1 şehir plancısı kadroları ile taşra teşkilatında bulunan Adli Destek ve Mağdur Hizmetleri Müdürlüklerine Ek-1 listede sayısı ve yeri belirtilen 144 psikolog, 100 pedagog ve 156 sosyal çalışmacı kadrolarına sözlü sınav sonucuna göre personel alımı yapılacaktır.
Adalet Bakanlığı Memur Sınav, Atama ve Nakil Yönetmeliği hükümleri doğrultusunda, 2020-KPSS (B grubu) puan sırasına konulmak kaydıyla, ilan edilen kadro sayısının 5 katı aday sözlü sınava katılmaya hak kazanacaktır.
KPSS puanı ile sözlü sınavda alınan puanın aritmetik ortalamasına göre en yüksek puandan başlanarak sıralama yapılması suretiyle ilan edilen kadro sayısı kadar atama yapılacaktır.
I) Genel Şartlar
1- 657 sayılı Devlet Memurları Kanununun 48 inci maddesinde belirtilen şartları taşımak,
2- 2020 yılı lisans Kamu Personel Seçme Sınavında KPSSP3 puan türünden 70 ve daha yukarı puan almak gerekmektedir.
II) Özel Şartlar
A- Psikolog: Psikoloji lisans bölümünden mezun olmak.
B-Pedagog: Rehberlik ve Psikolojik Danışmanlık veya Eğitim Programları ve Öğretim lisans bölümlerinin birinden mezun olmak.
C- Sosyal Çalışmacı: Sosyal Hizmet veya Sosyal Hizmetler lisans bölümlerinin birinden mezun olmak.
D- İstatistikçi: İstatistik lisans bölümünden mezun olmak.
E- Mimar: Mimarlık lisans bölümünden mezun olmak.
F- Diyetisyen: Beslenme ve Diyetetik lisans bölümünden mezun olmak.
G- Şehir Plancısı: Şehir ve Bölge Planlama lisans bölümünden mezun olmak.
III) Başvuru Tarihi, Şekli Ve İstenilen Belgeler
Adaylar başvurularını 11/11/2020-25/11/2020 tarihleri arasında saat 23:59:59’a kadar https://pgm.adalet.gov.tr internet adresi üzerinden e-Devlet sistemine üye girişi yaparak elektronik başvuru yoluyla gerçekleştireceklerdir. Şahsen veya posta yoluyla yapılan başvurular kabul edilmeyecektir.
Adayların her bir unvan için istenilen belgeleri sisteme eksiksiz ve tek tek yüklemek suretiyle başvuru işlemini tamamlaması gerekmektedir. Yüklenen belgelerdeki yanlışlıklar ile eksik belgelerden adaylar sorumludur.
Adayların öğrenim durumları Yükseköğretim Bilgi Sistemi web servisleri aracılığı ile alınacaktır.
Adayların 2020 KPSSP3 puanı ÖSYM web servisleri aracılığı ile alınacaktır.
Adayların detaylı özgeçmişlerini, fotoğraflarını (JPG, JPEG formatında) ve sağlık açısından engeli bulunmadığına dair yazılı beyanlarını (Ek-2 Beyan örneği) sisteme yüklemesi gerekecektir.
Adayların başvuru işlemi tamamlandıktan sonra “Başvurularım” ekranından başvurularının tamamlanıp tamamlanmadığını kontrol etmeleri gerekmektedir. “Başvurularım” ekranından “Başvuru Tamamlandı” ibaresi görülmeyen hiçbir başvuru değerlendirilmeye alınmayacaktır.
IV) Sözlü Sınav Yeri ve Tarihi
Sözlü sınava katılmaya hak kazananlar ile sözlü sınav yeri ve tarihi Bakanlığımız internet sitesinde (www.adalet.gov.tr) ilan edilecektir.
V) Sözlü Sınavın Konuları
Atama yapılacak kadronun gerektirdiği mesleki bilgi 40,
Atatürk İlkeleri ve İnkılap Tarihi 20,
Genel kültür 20,
Bir konuyu kavrama ve ifade yeteneği 20,
puan olmak üzere; toplam 100 puan üzerinden değerlendirme yapılacaktır. Adayın alınacağı kadronun gerektirdiği mesleki bilgi tespit edilirken; alınacağı kadronun gerektirdiği teknik bilgiye ilişkin konuların bir veya birkaçından soru sorulacaktır.
Adayların sözlü sınavda başarılı sayılabilmeleri için 100 tam puan üzerinden en az 70 puan almaları gerekmektedir.
VI) Nihai Başarı Listesi ve Sınav Sonuçlarının Duyurulması:
Nihai başarı listesi; adayların merkezi ve sözlü sınavda aldıkları puanların aritmetik ortalamasına göre yapılacak olup, başarı puanı en yüksek olan adaydan başlanmak suretiyle ilanda belirtilen kadro sayısı kadar aday atanmaya hak kazanacaktır.
Sınav sonuçları, atanmaya hak kazananlar ile atama sırasında istenilecek belgeler Bakanlığımız internet sitesinde (www.adalet.gov.tr) ilan edilecektir.
ÖNEMLİ NOT
Bu sınavın başvurudan işe alınmaya kadar tüm aşamalarında adaylara yapılacak bilgilendirme ve çağrılar Bakanlığımızın internet sitesinde ilan yoluyla yapılacaktır.
Adaylara ve kamuoyuna duyurulur. 9085/1-1

