
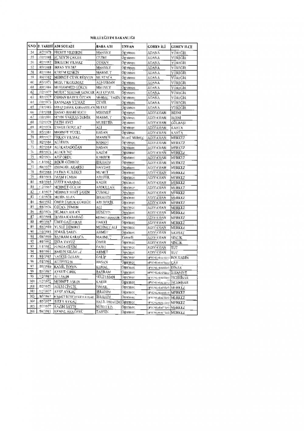
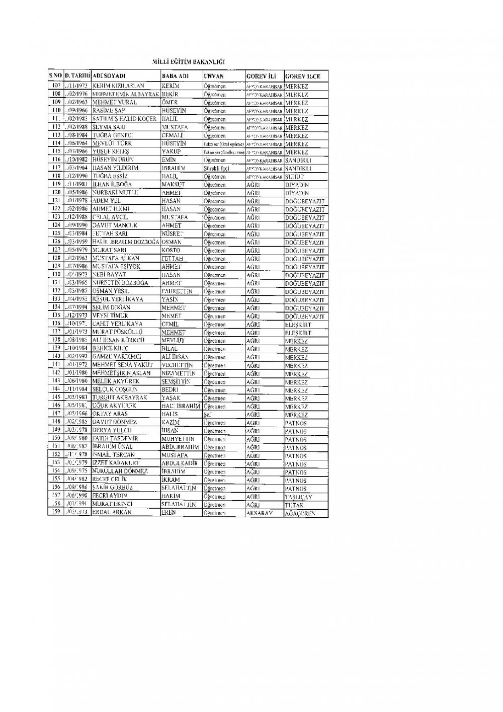
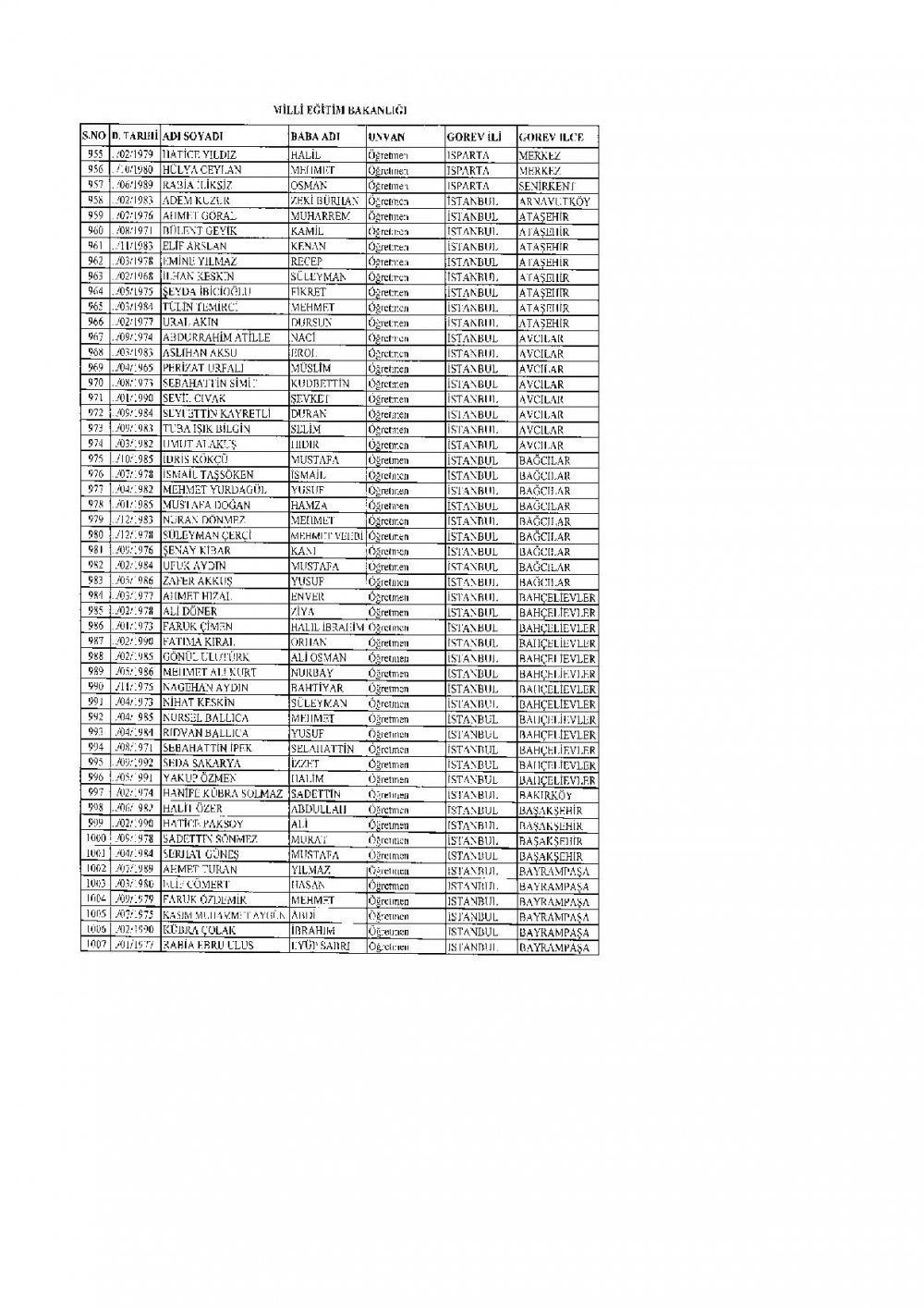
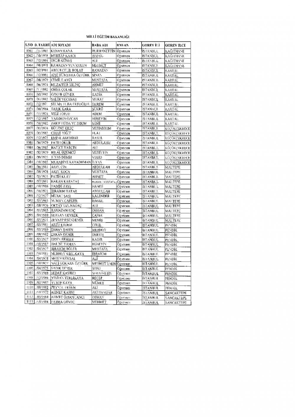
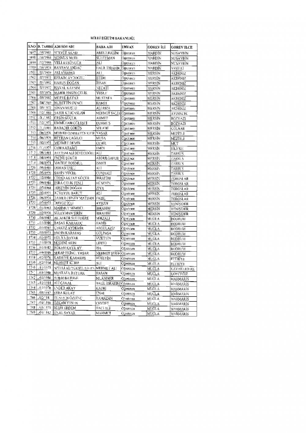
29 Ekim 2016 tarihili 675 sayılı KHK ile 2.219 MEB Personeli ( Öğretmen) PKK VE FETÖ’den dolayı ihraç edildi. Bilindiği üzere 11.500 öğretmen PKK bağlatısı nedeniyle öğretmen açığa ayrıca FETÖ’den dolayı açığa alınan öğretmeneler vardı.
Yeni Yayınalan 675 Sayılı KHK ile 2.219 öğretmen ihraç edilmiş oldu.
İşte İhraç edilen 2219 Öğretmen










































İhraç Edilen Meb personelini görmek için tıklayınız
www.mebpersonel.net