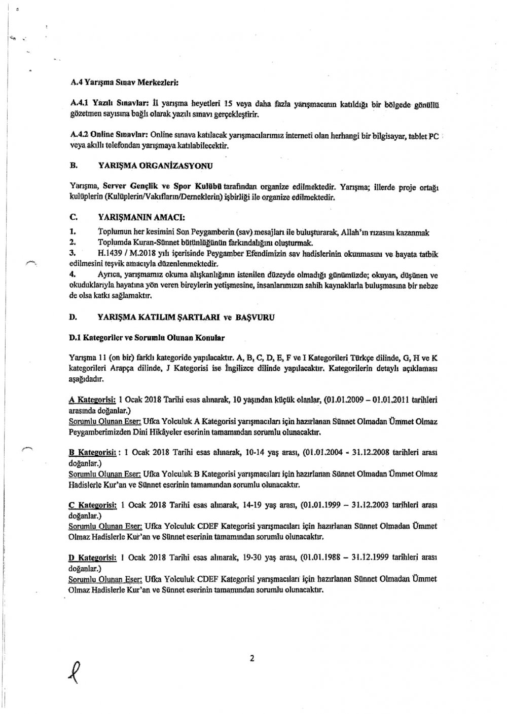
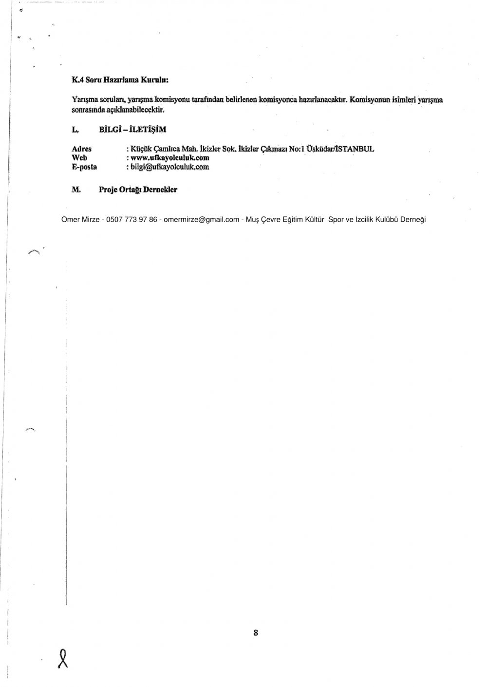
MEB’den ”Bilgi ve Kültür Yarışması” Yazısı

MEB Yenilik ve Eğitim Teknolojileri Genel Müdürlüğünden ”Bilgi ve Kültür Yarışması” Yazısı

MEB'den ''Bilgi ve Kültür Yarışması'' YazısıMEB'den ''Bilgi ve Kültür Yarışması'' YazısıMEB'den ''Bilgi ve Kültür Yarışması'' YazısıMEB'den ''Bilgi ve Kültür Yarışması'' YazısıMEB'den ''Bilgi ve Kültür Yarışması'' YazısıMEB'den ''Bilgi ve Kültür Yarışması'' YazısıMEB'den ''Bilgi ve Kültür Yarışması'' YazısıMEB'den ''Bilgi ve Kültür Yarışması'' YazısıMEB'den ''Bilgi ve Kültür Yarışması'' YazısıMEB'den ''Bilgi ve Kültür Yarışması'' YazısıMEB'den ''Bilgi ve Kültür Yarışması'' YazısıMEB'den ''Bilgi ve Kültür Yarışması'' YazısıMEB'den ''Bilgi ve Kültür Yarışması'' Yazısı

Bir yanıt yazın

E-posta adresiniz yayınlanmayacak. Gerekli alanlar * ile işaretlenmişlerdir

!-- Kırmızı Arka Planlı Haber / İhbar Alanı -->
HABER VE İHBARLARINIZI BİZE GÖNDERİN
Her türlü görüş, bilgi veya haber paylaşımınız için WhatsApp’tan yazabilirsiniz.
Not: Kişisel bilgileriniz (telefon, isim vb.) gizli tutulur. Lütfen aramayınız — sadece mesaj atınız.
💬 WhatsApp’tan Yazmak İçin Tıklayınız — 0531 674 25 06
Başa dön tuşu