
Resmi Gazetede yayınlanan 675 Sayılı KHK ile kamuda 10.044 personel ihraç edildi. İhraç edilen personeller arasında MEB Personeli olan 2.219 öğretmen bulunmaktadır. İhraç edilen meb personeli arasında FETÖ’den dolayı açığa alınanlar ile bölücü terörörgütlerine destek verdikleri için açığa alınan 11.500 öğretmenlerde bulunmaktadır.
YENİ İHRAÇLAR OLACAK MI?
Resmi gazetede yer alan ihraçlar sonrası yeni ihraçların yapılıp yapılmayacağı merak konusu olurken özelikle açıkta bulunan ve ihraç listesinde yer almayanlar için araştırmalar devam ettiğinden yapılan bu araştırlamalar sonrası yeni ihraçların yapılması bekleniyor.
31 MEB Personeli (Öğretmen) KHK ile göreve iade edildi.
Ayrıca 675 sayılı KHK’da daha önce KHK ile MEB’de ihraç edilen öğretmenlerden 31 tanesi göreve iade edildi.
Açığa Alınan Personel İçin 3 Ay Süresi Kaldılırdı.
Açığa alınıp ihraç edilmeyen personeller için 3 ay sonra göreve dönebilir yönündeki maddede KHK ile sürenin dikkate alınmayacağı değişikliği yapıldı.
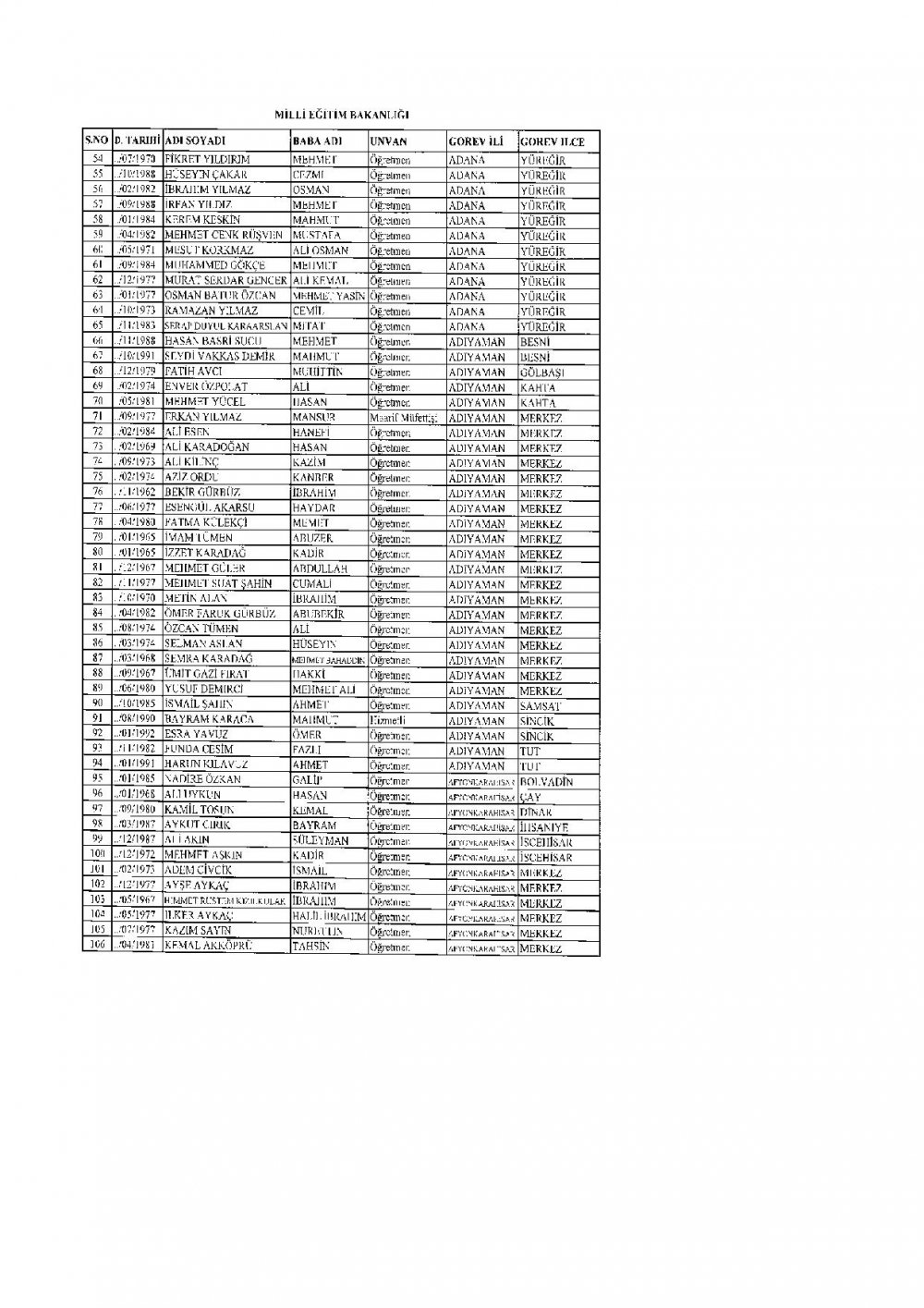
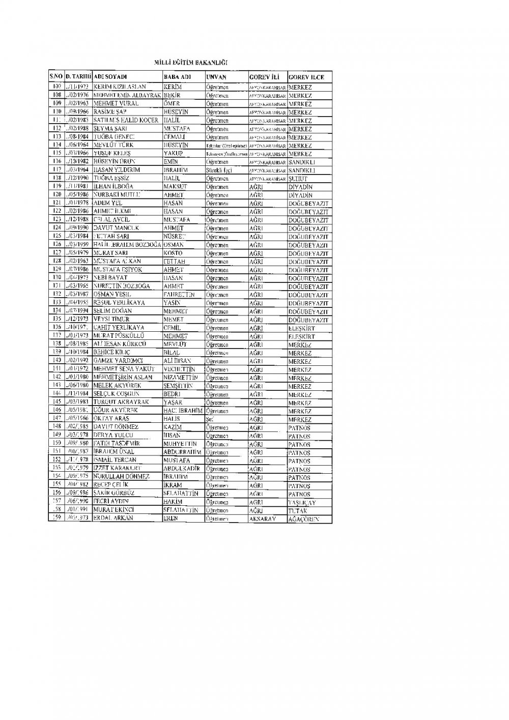
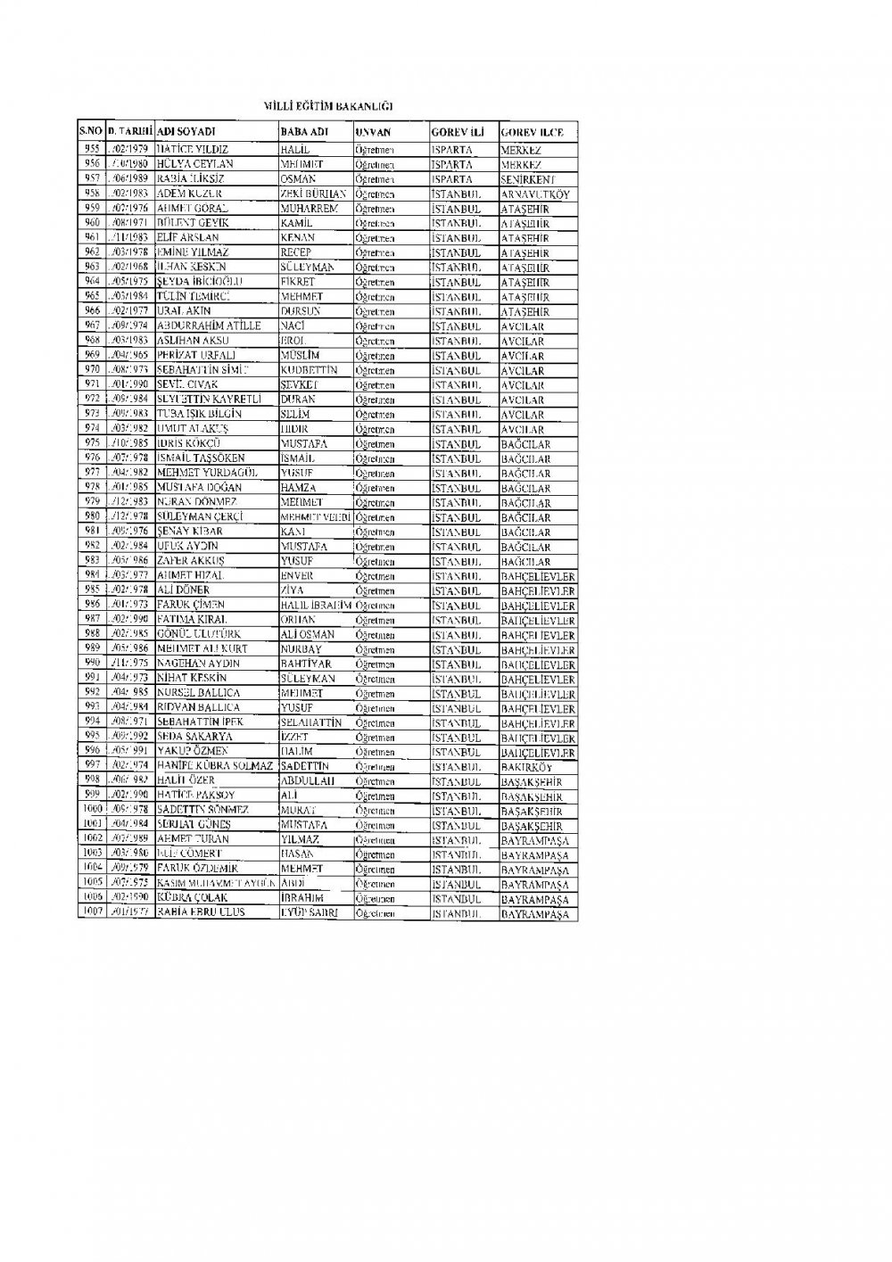
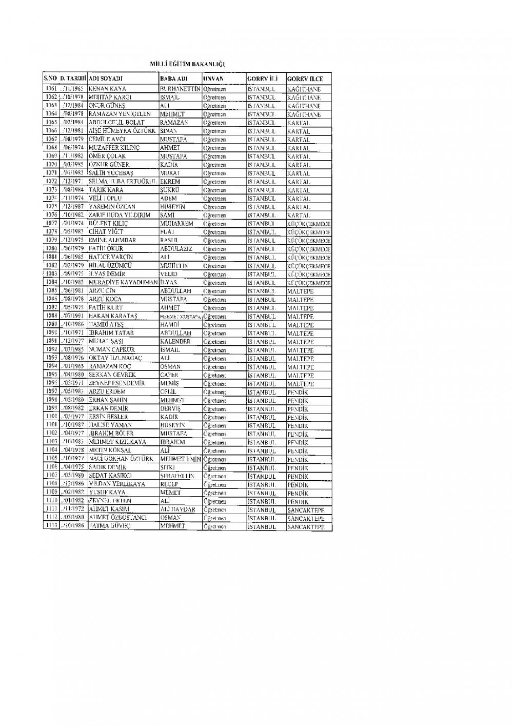
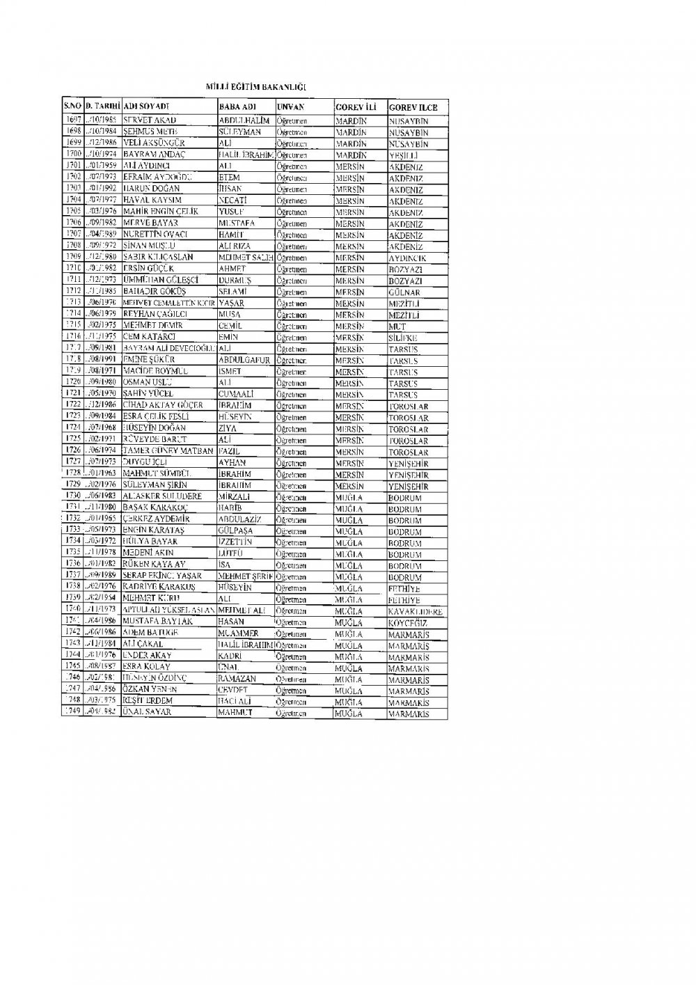
İhraç Edilen Öğretmenlerin İllere Göre Sıralı Listesi









































İhraç Edilen Meb personelini görmek için tıklayınız
www.mebpersonel.net